20世纪80年代初,周青青最早就河南方言对河南筝曲风格的影响发表文章[1],该文是改革开放之后最早运用杨荫浏先生的语言音乐学理论讨论中国传统音乐的文献之一,也是较早运用音乐形态学方法研究中国传统音乐结构的重要文献之一。该文从方言音韵与音调发生的关系入手讨论了河南方言音韵对于河南地方音乐、河南筝曲曲调进而对河南筝曲风格的影响,是河南筝曲风格研究的突破性成果,对河南筝曲的演奏产生了积极的作用。笔者作为一名从事河南筝曲演奏多年的学习者,也从周青青的论文中获得很多教益。今结合笔者的演奏实践及其对于相关问题的思考,談点体会,以就教方家。
一、河南方言与河南筝派概述
(一) 河南方言区间的选取及音韵特点
杨雄在汉代著作的《輶轩使者绝代语释别国方言》中首次提出“方言”一词[2],该词在不同的人群中有不同的定义。通常,我们所说的“方言”是一个政治学概念,实际上是指区别于标准语的某一地区的语言,也称为“地方语言”“白话”“土话”或“土音”。
在中国现今的方言中,“河南方言”这一术语在学术上比较宽泛,通常指的是在河南省行政区域内通行的各种方言。河南方言的正确分类应该归于“中原官话”的一部分,1985年,李荣在他的论文《官话方言的分区》中将此前在方言学界常被称为“北方方言”的官话划分为七个区域:西南官话、中原官话、北方官话、兰银官话、北京官话、胶辽官话和江淮官话。他指出“中原官话的特性是古次浊入声今读阴平,与其他六区别开来”。[3]自此以后,中原官话才被看做一个整体,并得到了更多学术界的关注。但是中原官话的范围涵盖非常之广,包括河南、陕西、山西、山东甚至新疆南部的部分地区都属中原官话的一部分。因此在语言学的研究中,往往把河南方言放到中原官话的大背景下去做研究。河南位于中原地带,黄河流域,是中华文明的重要发源地之一,其语言历史悠久,地位显赫。周祖谟在《宋代汴洛音与〈广韵〉》一文中开门见山地指出:“汴梁即今之开封,与洛阳居天下之中区。自东汉、曹魏、西晋,下至后魏都以洛阳为国都,唐代则定为东都,车轨交错,达于四方,人士往来,言谈之间,大都以洛阳音为正。宋代都于汴梁,汴梁东离洛阳约600里,语音当去洛阳不远。”[4]河南当地的方言本身与中原官话一起经历了数千年的演变,在古代流行过四调、五调的音韵,声母、韵母在各个时期也不尽相同。而本文的研究对象是河南方言与河南古筝音乐,所以从历史时间轴上看,本文中对于河南方言的选择区间应该和河南筝派起源、发展、成熟的时间范围保持一致(即从明清小曲的繁荣开始),属于为近代“中原官话”的范畴。
从地域上看,樊艺凤在《河南筝乐考略》一文中,明确指出了河南筝派的前身——河南鼓子曲的流变过程,鼓子曲兴起于开封,而后从汴梁地区经禹县、襄县、叶县分别传到遂平、南阳、上蔡、泌阳等地区[5],因此在河南省内的方言选择上,本文选取了中原官话中的郑开片、洛嵩片、南鲁片、漯项片四个区域作为研究对象,相较于河南省内其他地区的方言,例如信蚌片、关中片、商阜片等,这几个地区与河南筝乐形成过程中的地域更加重合,基本上完全覆盖,且语言调值调类上十分接近,便于作为一个整体来与河南筝派做对比研究。基于这两个因素,在后文中的“河南方言”是狭义的特指“郑开片、洛嵩片、南鲁片、漯项片”的中原官话,而非河南省行政区域内的所有方言的集合。
相较于普通话,河南方言的声母、韵母与其相同,都属于四调语言(河南部分地区方言有五调,但不在本文的研究范围之内),但是在调值走向上与其差异较大,查阅各地县志可知我们取样的四个区域的部分“河南方言”与普通话的调值对比见表1:

由上表不难看出,以上区域的方言音调走向大致相同,但与普通话的区别较为明显。以开封方言为例,其四个声调分别为阴平24、阳平53、上声44、去声412,具有阴平-中升、阳平-高降、上声-高平、去声一降升的特点。相比之下,洛阳方言的声调略有不同,为阴平33、阳平31、上声53、去声12,但这种差异可归纳为一种类型,变化幅度仍在可接受的范围内。[6]
因此,在研究过程中,我们可以把四个区域的河南方言作为一个整体来与普通话进行对比从而得出结论:第一、河南方言的阴平接近普通话的阳平,因此大家较为熟悉的河南话“中”,在河南方言中要用接近普通话的二声去读。第二、河南方言比普通话更爱用升降调(即音乐中的上下滑音),且部分升调音值较短,快速而有力。这两点深深地影响了河南筝派的艺术特点。
(二)河南筝派与河南地方声腔
我国的古筝拥有两千多年的历史,经过长期的流传与发展,在广泛吸取、融合了各地方、各民族的不同风格音乐之后,古筝音乐在发展过程中也形成了诸多地域性流派,例如北方的河南筝派、山东筝派,南方的潮州筝派、客家筝派等等。
其中河南筝派起源于河南鼓子曲的伴奏乐器,在随后的发展过程中以鼓子曲的形式流传于河南各个地区。张长弓在《鼓子曲言》中提到,鼓子曲最初自何地传来,不见记载,据口耳相传,鼓子曲初见于开封,后来传入南阳等地,不断吸收江淮小曲,山东俚曲及大鼓书、地方戏、民歌的丰富营养,逐步形成自己的风格。从河南鼓子曲的曲牌来源、连套方式等特征中可以清晰辨认出河南鼓子曲与宋金元时期的缠令、缠达、诸宫调、明清俗曲等艺术形式有着亲密的血缘关系。清朝中期,鼓子曲开始由开封向西南方向传播,并最终在南阳繁荣起来,其表演形式原为厅堂坐唱,伴奏乐器以三弦为主,另有古筝、琵琶、扬琴、坠胡等;打击乐有檀板、八角鼓等,其音乐“清贫温润,娴雅整肃”,在过去被视为一种非常高雅的艺术形式。[7]
清朝末年,河南各地开始出现一种“高跷曲子”的艺术形式,“高跷曲子”又称“小调曲子”,其唱词朴实生动,简单易学,很快就在河南流传开来,并在后来演变成河南曲剧。小调曲子的流行对坚持鼓子曲厅堂清唱的曲友冲击很大,为了标明正宗,他们把鼓子曲改名为大调曲子并流传至今。不论是小调曲子还是大调曲子,古筝在其中都扮演着关键的伴奏角色,随着这两种音乐形式的发展得以传承。在大调曲子中,除了为声乐伴奏之外,这些乐器还有一种合奏形式,被称为“板头曲”,它是在演唱大调曲子之前,合奏或独奏一、二首的器乐曲。这些乐器的合奏时配合默契,独奏时各有特点。
近代以来涌现了许多河南古筝名家,如曹东扶、王省吾等人对河南筝的改良与器乐化创新,并且创编了一批新的河南筝曲,使得古筝最终脱离了伴奏的演奏形式,成为了独奏乐器,逐渐形成了别具风格的“河南筝派”。
从河南筝派的发展过程中,我们可以很清晰地总结出河南筝曲的三个来源:
(1)由大调曲子演变而来的“唱腔牌子曲”,例如《山坡羊》《双叠翠》《银纽丝》等;(2)由板头曲直接整理得来,例如曹东扶传谱的《陈杏园和番》《陈杏园落院》《苏武思乡》,王省吾传谱的《大救驾》《双八板》《花流水》等;(3)在古筝成为了独奏乐器之后的创编曲,例如曹东扶作曲的《闹元宵》《变体孟姜女》,乔金文作曲,任清志演奏的《汉江韵》,任清志创作的《幸福渠》等。
以上三类作品中前两类均是从与“唱”有关的曲艺形式作品中演变而来。唱腔牌子曲是由大调曲子中的唱腔曲牌逐渐演变为器乐曲的,虽然板头曲一直是一种器乐形式,但它仍然是从大调曲子中抽离出来,即使受到了民间音乐的影响,但在河南音乐风格的表现方面,它和唱腔牌子曲是一致的。第四类创编筝曲,虽然不再依附于唱腔,但是这类作品创编的时期,河南筝的发展已经进入了一个成熟的阶段,其创编的艺人,也都为传统大调曲子或小调曲子的演奏者,有些曲目的片段或动机也是从河南曲子中化用而来,所以不论是其旋律还是演奏技巧,已经形成了一种受曲艺影响从而呈现出的河南音乐风格。
从来源上看,河南筝派的形成与大调曲子、小调曲子(即后来的曲剧)有着密不可分的关系。这些有唱词的声乐作品相较于古筝演奏出的器乐作品,由于其本身带有语言的属性,显然与河南方言的联系更为紧密。声乐就像桥梁一样,使得河南筝派与河南方言产生了内在的联系。所以在分析河南筝派之前,我们要先探讨河南方言对河南地方音乐的影响,才能继续讨论河南筝派与河南方言的关系。
二、河南方言与河南筝派的内在联系
(一)河南方言与河南地方音乐的关系
探讨河南方言与河南地方音乐的关系,其本质上是在讨论语言与音乐的关系,这属于语言音乐学的范畴。关于语言和音乐关系的描述,最早可见于《尚书·虞书》:“诗言志,歌咏言,声依咏,律和声。”其核心就是咏唱歌曲的声音要与咏唱的语言配合,汉民族历史上不论是诗歌还是曲艺、戏曲作品,都在围绕这一范式进行发展,随后逐渐产生了“依字行腔”、“字正腔圆”的概念,这两个理念直接导致了一个现象——唱词的字调走向会影响音乐旋律的走向,两者有一种趋同性,虽然有些传统声乐作品中,词和腔并未遵从“依字行腔”的规律,但这只是少部分现象,从宏观上看,在一定程度上这两个概念让唱词和唱腔的连接变得更加紧密,成为了音乐和语言连接的纽带,也为我们讨论河南方言与河南地方音乐作品提供了先决条件。
基于以上分析,我们在接下来的研究中将采用语言音乐学中最常用的方法:声韵调分析法,去研究河南方言与大调曲子的关系。杨荫浏在《语言与音乐》中最早使用音韵学方法分析戏曲唱腔与语言之间的关系,后这种方法被普遍用于研究中国传统音乐与汉语言之间的关系。这种对语音语调的传统分析法为音韵学上的声韵调分析法,在语言音乐学中,中国学者通过对传统音樂中汉字声母、韵母、声调的分析,探究其语音变化的规律和结构特点等,再结合音乐学研究方法,从而达到总结字调和旋律的关系、归纳地方方言音乐共同属性等研究目的。如杨荫浏先生在《语言音乐学初探》中通过昆曲在音乐上适应字调的经验,总结南北曲字调配音规律,从而探究南北曲的音乐风格与语言的关系。[8]
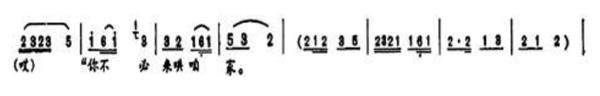
前文中已经提到,“依字行腔”是中国传统声乐作品的一般规律,河南地方音乐也无外乎其中,因此在下面的分析中我们以大调曲子为代表来研究河南方言与地方音乐的具体关系。以大调曲子著名曲牌《满江红》(带垛)为例。
谱例1 《满江红》(带垛)

其中这句唱词“你不必来哄咱家”,在南阳方言中音调分别为“上、阳、去、阳、上、阳、阴”,南阳话中阳、去都是降调,因此这句唱词七个字里有四个降调音,所以旋律上整体上向低音进行,又因为“家”字是升调音,所以最后一个字的旋律由1进行到5,从这一点来看,大调曲子的旋律受河南方言的影响较多,前文已经写过,河南方言多用降调,在这里也有所体现。同时,在由平调字“你、哄”向降调字“必、咱”进行时,为了使旋律与唱词字调相符,使用了连音和装饰音来进行处理。
(二)河南地方音乐对河南筝派的影响
古筝作为大调曲子中非常重要的伴奏乐器,在为声乐的伴奏过程中,方法灵活多样,主要分为过门和板头曲两种。其中过门是大调曲子中至关重要的伴奏方式,可以起着承上启下、连接乐句、前导入唱腔、结束前煞板的作用,而板头曲则可作为单独演奏的器乐曲,其中过门的特点如下:(1)包腔送韵。这是大调曲子的基本伴奏方式,即伴奏者随腔伴奏,演唱与伴奏为同一个旋律;(2)加花填空。指在随腔伴奏时,在唱腔的延长音或是一小节之后,加上一个小间奏,或是伴奏音型,以此填补乐音节之间的空隙;(3)变奏过门。虽然各县在同一曲牌的演奏中各有差异,没有统一的过门,但通过分析比对,亦有一种规律性的旋律结构是共同遵守的:一是重复牌子或杂调的过门,这有两种类型,一是用上下韵后面的间奏做过门;二是把牌子或杂调的唱腔曲谱整乐句或若干个乐句连在一起当起腔前的导入过门;二是把牌子或杂调的唱腔曲谱进行变奏,形成过门。
板头曲虽然是纯器乐曲,但是也经常用在连缀曲牌、充当前奏“垛头”的作用,就像《满江红》(带垛),其垛头就是板头曲中的《花流水》节选而来。
由以上特点可知,在大调曲子的古筝的演奏要求上,古筝既要填补声乐部分的空白,有时又要演奏和声乐一样的旋律,模仿声腔的进行,以此达到“烘云托月”的效果。这样的演奏要求和演奏习惯,使得河南的古筝与大调曲子一样,不论是在旋律进行上,还是在上下滑音的处理上都具有了鲜明的河南特色。即使在后来的发展中,古筝走上了器乐化路线,脱离了大调曲子,开始成为独奏乐器,它的表现效果也与大调曲子高度一致,形成了“河南筝派”的特定风格,可以说河南筝派的特色器乐化语汇就是在大调曲子的影响下形成的。
三、河南方言的音韵元素在河南古筝曲中的运用
由于对传统曲艺中唱腔旋律的模仿,河南筝派的滑音特点与曲牌唱腔保持了高度的一致,河南方言的阴平是上升调,阳平和去声调值向下,前文中分析了连续去声和连续阴平时河南大调曲子在演唱中会有为了润腔而加入的小三度与小二度滑音,这一点在河南筝派的古筝曲中有很直观的体现:
谱例2:大调曲子《银钮丝(带垛)》

例3:古筝曲《银钮丝》(节选)

从以上谱例可以看出,古筝独奏曲在保留了大调曲子旋律的基础上进行了一些器乐化处理,但是在音与音的滑音连接上仍然保持了“小三度”与“小二度”的特点,比如第一小节的3滑到5就是一个小三度滑音。
除了唱腔牌子曲和板头曲之外,后创作的河南筝曲也延续了这一特点,例如《汉江韵》:
谱例4《汉江韵》(节选)

从第二行第二小节开始,连续的6上滑音,这就好像唱词中出现了许多阴平字连在了一起,比如河南方言连续的说“中中中”就会产生这样的音响效果。
另如曹东扶创作的《闹元宵》:
谱例5《闹元宵》

第一小节,6和6的连接仍然是小三度的上滑音。5与5的连接中,出现了#4到5的小二度上滑音,这就好像前文中《满江红》唱词中出现类似于“情愿”这种阳平接去声时,为了迎合连续下行的唱词而产生的小二度上滑音。
从以上谱例中不难发现,尽管演奏技巧迭代了多次,器乐化语汇越来越多,但河南筝派的核心——音乐风格,由河南方言经过大调曲子等民间音乐为其打上了深刻的烙印,河南筝派的旋律、滑音、加花技巧都与河南方言有着密不可分的关系。
四、河南方言对学习河南筝曲的现实意义
随着现代社会的发展与音乐专业教育体系的建立,河南筝曲的演奏也越来越规范化、专业化,但是卻很少有人会思考河南筝曲与河南方言的联系,对乐曲的认知还停留在音乐层面。河南筝曲的“根”其实扎于河南的本土文化上,方言是地域性文化的一个重要表现方面,相较于音乐更加贴近人们的生活。“一方水土养一方人”“十里不同音,百里不同俗”,要想更深入地学习好河南筝曲,那么方言的学习就起到了事半功倍的效果,对于河南筝派,我们需要展望未来,但也要知其来路。
本文系国家社科基金艺术学重大项目《黄河流域音乐文化多元一体格局研究》(21ZD18)子课题《黄河流域戏曲与说唱音乐多元一体格局研究》和河南省社科规划项目《隋唐燕乐的创新性转换与创造性发展》(2022BYS010)的阶段性成果。
注释:
[1]周青青:《河南方言对河南筝曲风格的影响》,《中央音乐学院学报》,1983年第4期,第19-28页。
[2](清)戴震疏证:《輶轩使者绝代语释别国方言》,《商务印书馆》1937年。
[3]郜世涛:《东明方言语音词汇研究》上海师范大学,2018年。
[4]周祖谟著:《周祖谟学术论著自选集》北京师范学院出版1993年,第363页。
[5]樊艺凤:《河南筝乐考略》,《交响》(西安音乐学院学报),1994年第4期,第35—42页。
[6](日)平山久雄:《汉语声调起源窥探》,《语言研究》1991年第4期,第35-42页。曾拟测了一个“调值变化的环流”:11>33>44>55;55>53>51>31>11>13>35>55;51>412>213>24>35;412>313>33。按照平山久雄的理论洛阳的声调可以从开封声调中推导出。
[7]张长弓编著:《鼓子曲言》正中书局, 1948年版。
[8]苏毅苗、陈海韵:《语言音乐学》,《南京艺术学院学报》(音乐与表演),2022年第5期,第87—93+9页。
吴泽洪 河南大学音乐学院2021级研究生
陈文革 河南大学中国传统音乐研究所研究员,博士生导师
(责任编辑 崔健)



